Page 5 of articles about amino acids
Evonik responds to termination of methionine anti-dumping investigation

Novus: We strive to be the industry’s gut health leader
International feed additive company announces new structure, plans in animal agriculture industry
Evonik: China extends investigation of methionine anti-dumping case
Evonik declares force majeure for supply of ThreAMINO® due to Covid-19 outbreak
The effect of metal-amino acid complex supplementation on finishing pig growth performance and locomotor system integrity

Sow feeding strategies for excellence at weaning (Part 1 of 2)
What nutrients can be provided to the sow to improve fetal growth, production of milk and colostrum and to modulate the inflammatory response.
The optimal CP dietary level in crystalline amino acid-supplemented diets for high-yielding lactating sows
The optimal SID Trp:Lys requirements for grower-finisher pigs in commercial conditions

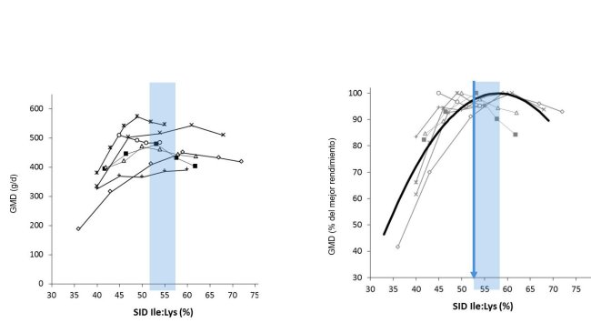
Low-protein diets and isoleucine requirements in pigs
Deficient levels of isoleucine in feed low in crude protein can compromise the growth and gain to feed ratio of piglets.

The quarantine is rough, can we feed anything to help immune status of quarantine gilts?
In addition to prophylactic measures, gilt nutrition plays a crucial role in the development of their health status. This review addresses different nutritional strategies to stimulate the immunological state during quarantine.
The effect of dietary coated cysteamine hydrochloride on meat quality in growing-finishing pigs

Evonik commissions second complex for MetAMINO® production in Singapore
Evonik opens second world-scale plant for methionine production for its Asia growth market, raising it's annual global capacity of DL-methionine to 730,000 metric tons.
Evaluating the effect of higher protein and lysine and lower fat and fiber dietary contents on pork quality

Variability of the chemical composition and nutritional value of soybean meal
Soybean meals from the US, Brazil and Argentina, their major exporters, may present bigger than expected nutritional differences.